44 enlargement and reduction math worksheets

PDF Fully describe the single transformation from the triangle ... - Mathster 8) -2 -1 1 2 3 4 5 1 2 3 4 5-1-2 x y Copyright Mathster.com 2014. Licensed by Your School with permission to redistribute. Title: Print Layout - Mathster Created Date ... PDF Enlarge / Reduce - Math Worksheets 4 Kids Printable Math Worksheets @ . Answer key Enlarge / Reduce Shapes: S1 Name : Enlarge the shapes using the scale factor 1 : 2. 1) Reduce the shapes using the scale factor 3 : 1. 2) Printable Math Worksheets @ . Created Date:

Enlargements And Reduction Worksheets - K12 Workbook Enlargements And Reduction Displaying all worksheets related to - Enlargements And Reduction. Worksheets are Enlargements and reductions work, Work on years, Maths 4 real 2, Enlargement work. *Click on Open button to open and print to worksheet. 1. 4.1 Enlargements and Reductions Worksheet - 2. Worksheet on Enlargements. Years 7-11. 3.

Enlargement and reduction math worksheets

Enlargement and reduction math worksheets

Enlargement Resources | Tes Welcome secondary maths teachers! Are you looking for quality assured resources, designed to make lesson planning easier? Spanning across multiple topics and key stages, this extensive collection, hand-picked by members of the Tes maths panel, is the perfect starting point... Craig Barton. Tes Maths Advisor. PDF Enlargements and Reductions - Math 9 Enlargement and Reduction •An enlargement or reduction involves making it larger or smaller (respectively). •The ' symbol is called the prime symbol. It is used to show the vertex on an image that corresponds with a vertex on the original diagram. Scale Factor •If the scale factor is a number greater than one, the shape was made larger. Enlargement And Reduction Math Worksheets - K12 Workbook Enlargement And Reduction Math Displaying all worksheets related to - Enlargement And Reduction Math. Worksheets are Enlargement and reduction math, Types of dilation 1, 1, Math virtual learning grade 8, Work 20 transformation geometry grade 9 mathematics, Ratios of scale drawings, Rotations and dilations work homework, Scale drawings and models.

Enlargement and reduction math worksheets. PDF Enlargements and Reductions - Mrs. Coe's Math Classroom 1) This enlargement is twice the length of the original. "Twice" means 2 Scale factor = 2 2) This reduction is half the length of the original. "Half" means Scale factor = 3) The dimensions of this rectangle are multiplied by 3 (enlargement). Enlargement And Reduction Math Worksheets - Learny Kids Displaying top 8 worksheets found for - Enlargement And Reduction Math. Some of the worksheets for this concept are Enlargement and reduction math, Types of dilation 1, 1, Math virtual learning grade 8, Work 20 transformation geometry grade 9 mathematics, Ratios of scale drawings, Rotations and dilations work homework, Scale drawings and models. Enlarging and reducing shapes - Scale Factor - BBC Bitesize 1 2 Enlarging and reducing shapes A scale factor can be used to enlarge or reduce a shape. Shape A below is enlarged by scale factor \ (2\) to give Shape B. Linear Scale Factor The scale factor... Enlargements Textbook Exercise - Corbettmaths The Corbettmaths Textbook Exercise on Enlargements. Videos, worksheets, 5-a-day and much more

Reduction and Enlargement Lesson Plans & Worksheets Geometry Worksheet 9.5: Rotational Symmetry. For Students 9th - 12th. In this rotational symmetry worksheet, students solve 14 short answer and graphing problems. Students identify the order and magnitude of given figures. Students find the scale factor of a dilation given a graph. Math 9 - Scale Factor: Enlargement and Reduction | Middle school math ... Jan 26, 2014 - Video introduction to scale factor enlargement and reduction. Pinterest. Today. Explore. When autocomplete results are available use up and down arrows to review and enter to select. Touch device users, explore by touch or with swipe gestures. ... Middle School Math Tutoring Strategies. Ideas to use if you have center activities ... Mr Barton Maths Mathster keyboard_arrow_upBack to Top. Mathster is a fantastic resource for creating online and paper-based assessments and homeworks. They have kindly allowed me to create 3 editable versions of each worksheet, complete with answers. Worksheet Name. 1. 2. 3. Transformations - Enlargement. Enlargements And Reductions Worksheets - K12 Workbook Displaying all worksheets related to - Enlargements And Reductions. Worksheets are Transformations skills questions, Enlargement and reduction work, Scale diagrams and enlargements focus draw and, Enlargement and reduction math, Proportions and similar figures, Ratios of scale drawings, Scale drawings and models, Enlarging and reducing shapes.

Maths Enlargement And Reduction Worksheets - Learny Kids Displaying top 8 worksheets found for - Maths Enlargement And Reduction. Some of the worksheets for this concept are Enlarge reduce, Enlarge reduce, Mathematics linear 1ma0 enlargement, Enlargement and reduction math, Work 20 transformation geometry, Scale drawings and models, Work 20 memorandum, Enlarging and reducing shapes. Enlargement Or Reduction Scale Teaching Resources | TpT Worksheet on dilation with order pairs and polygons with enlargements and reductions about the origin. Students find new order pairs using scale and construct original polygons and images after the transformation as well as identifying the scale factor used to make an enlargement or reduction. Enlargement And Reduction - Printable Worksheets Showing top 8 worksheets in the category - Enlargement And Reduction. Some of the worksheets displayed are Work on years, Types of dilation 1, Name, Geometry workbook 7, Mathematics linear 1ma0 enlargement, Copy, Enlarging n 1 and reducing, Dilations. Enlargements Worksheet | Teaching Resources pdf, 249.93 KB. Really basic worksheet for enlargements. I created this to use during the lockdown 2020/2021 where I needed to make sure students where able to learn enlargements. No tracing paper is required. I used it with a KS3 class to good success. Can also be used for a recap task with KS4.

15.2 Angles In Inscribed Polygons Answer Key - Geometry Worksheets ...

15.2 Angles In Inscribed Polygons Answer Key - Geometry Worksheets ...

Maths Enlargement And Reduction Worksheets - K12 Workbook Displaying all worksheets related to - Maths Enlargement And Reduction. Worksheets are Enlarge reduce, Enlarge reduce, Mathematics linear 1ma0 enlargement, Enlargement and reduction math, Work 20 transformation geometry, Scale drawings and models, Work 20 memorandum, Enlarging and reducing shapes.

Dilation - Geometry - kwizNET Math/Science/English Homeschool ...

Dilation - Geometry - kwizNET Math/Science/English Homeschool ...

Enlargement And Reduction Worksheets & Teaching Resources | TpT Geometry - Making an Enlargement, Reduction or Distortion of a Cartoon. by. Math Through Discovery LLC. 5. $4.00. PDF. In this package you will receive• Six cartoon drawings: Five drawings of cartoons on a 3 x 4 grid and one drawing of a cartoon on a 3 x 3 grid. Each square in the grid is 2 inches by 2 inches.

Excel Math: Recognizing Equivalent Representations of Fractions

Excel Math: Recognizing Equivalent Representations of Fractions

Scale Factor of Similar Figures - Math Worksheets 4 Kids Enlarge or Reduce - Real Life Objects This set of 7th grade scale factor worksheet pdfs features fascinating real-life pictures like house, rocket, Christmas tree and more. Up scale or down scale the image according to the scale factor and draw the new image. Scale Factor - MCQ

Scale Factor Worksheet | Mychaume.com

Scale Factor Worksheet | Mychaume.com

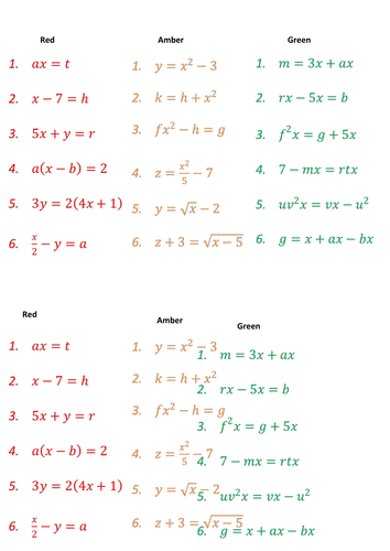
KS3 - Differentiated Enlargement Worksheets | Teaching Resources pub, 265.5 KB. Green (whole number), amber (fractional), red (centre of enlargement) and extension (missing lengths) enlargement worksheets for KS3. I created and used these with my mid-low ability Y7 class, with the sheets providing a challenge for all. Tes classic free licence.

Similarity and Congruence

Similarity and Congruence

Scale Factor Enlargement Worksheets & Teaching Resources | TpT Activities, Lesson Plans (Individual), Worksheets Enlargement (Negative and Fractional Scale Factors) by Outstanding Resources $4.80 Zip This is a fantastic whole lesson on Enlargement and it is very thorough. This lesson goes through negative, fractional and negative fractional enlargement.

Transformations: Dilations Worksheets by Funsheets4math | TpT

Transformations: Dilations Worksheets by Funsheets4math | TpT

Reduction And Enlargement In Geometry Worksheets - K12 Workbook Worksheets are Enlargement and reduction work, Enlargement and reduction math, Work 20 memorandum transformation geometry grade 9, Types of dilation 1, Ratios of scale drawings, Geometry cp dilations work, 1, Chapter 4 transformations. *Click on Open button to open and print to worksheet. 1. Enlargement and reduction worksheets 2.

Solving Equations With Some Fraction-Busting Worksheet by Maya Khalil

Solving Equations With Some Fraction-Busting Worksheet by Maya Khalil

PDF 4.1 Enlargement and Reduction Extra Practice - Mr. Ursulak 4.1 Enlargement and Reduction Extra Practice 1. Enlarge the following shapes based on the scale factor given. a) Scale factor = 2 b) Scale factor = 2.5 A diagram is enlarged if the scale factor is ____________________. 2. If a triangle with side lengths 3 cm, 4 cm, and 5 cm is enlarged with a scale factor of 4.

Scale Factor with Similar Figures: THE EASY WAY! | Education math ...

Scale Factor with Similar Figures: THE EASY WAY! | Education math ...

Scale Factor Enlargement Or Reduction Teaching Resources | TpT Geometry - Making an Enlargement, Reduction or Distortion of a Cartoon by Math Through Discovery LLC 6 $4.00 PDF In this package you will receive• Six cartoon drawings: Five drawings of cartoons on a 3 x 4 grid and one drawing of a cartoon on a 3 x 3 grid. Each square in the grid is 2 inches by 2 inches.

Writes and Wrongs #9: New Math Reassurance for the Parents 2 (Number ...

Writes and Wrongs #9: New Math Reassurance for the Parents 2 (Number ...

Enlargement Worksheets & Teaching Resources | Teachers Pay Teachers Integrated Art-Math Grid Enlargement Masterpiece Project. by . Anne Hollenbeck. 13. FREE. ... This is a worksheet to determine if a diagram is an enlargement or a reduction of an original, along with determining scale factor. ... enlargement, reduction, scale factor. Inside page includes 4 examples with space for student work: 2 problems ...

Part 3: Algebraic Techniques | Free Worksheet | Year 7 Maths Guide

Part 3: Algebraic Techniques | Free Worksheet | Year 7 Maths Guide

Enlargement And Reduction Math Worksheets - K12 Workbook Enlargement And Reduction Math Displaying all worksheets related to - Enlargement And Reduction Math. Worksheets are Enlargement and reduction math, Types of dilation 1, 1, Math virtual learning grade 8, Work 20 transformation geometry grade 9 mathematics, Ratios of scale drawings, Rotations and dilations work homework, Scale drawings and models.

Part 3: Algebraic Techniques | Free Worksheet | Year 7 Maths Guide

Part 3: Algebraic Techniques | Free Worksheet | Year 7 Maths Guide

PDF Enlargements and Reductions - Math 9 Enlargement and Reduction •An enlargement or reduction involves making it larger or smaller (respectively). •The ' symbol is called the prime symbol. It is used to show the vertex on an image that corresponds with a vertex on the original diagram. Scale Factor •If the scale factor is a number greater than one, the shape was made larger.

Enlargements and Reductions Worksheet by Math from the Island | TpT

Enlargements and Reductions Worksheet by Math from the Island | TpT

Enlargement Resources | Tes Welcome secondary maths teachers! Are you looking for quality assured resources, designed to make lesson planning easier? Spanning across multiple topics and key stages, this extensive collection, hand-picked by members of the Tes maths panel, is the perfect starting point... Craig Barton. Tes Maths Advisor.

Solved: Which Of The Following Is The Correct Form Of The ... | Chegg.com

Solved: Which Of The Following Is The Correct Form Of The ... | Chegg.com

Kindergarten Math - instruction and mathematics practice for Kindergartens

Kindergarten Math - instruction and mathematics practice for Kindergartens

Transformations Worksheet Bundle by Funsheets4math | TpT

Transformations Worksheet Bundle by Funsheets4math | TpT

Rearranging Formulae Resources | Tes

Rearranging Formulae Resources | Tes

1000+ images about Enlarging/ Grid technique on Pinterest | Chuck close ...

1000+ images about Enlarging/ Grid technique on Pinterest | Chuck close ...

0 Response to "44 enlargement and reduction math worksheets"

Post a Comment

Iklan Atas Artikel

Iklan Tengah Artikel 1

Iklan Tengah Artikel 2

Iklan Bawah Artikel